第七章 ·电磁感应定律的应用
7.3
变压器
课程标准 | 1.了解理想变压器原副线圈的电压、电流、电功率的关系。 2.了解远距离输电中功率损耗和电压损耗的原因,并能进行相关计算。 |
物理素养 | 物理观念:用能量守恒观点理解理想变压器的原副线圈的电功率关系。 科学思维:通过理想变压器是忽略了能量损失,建立理想模型的思维方法。 科学探究:探究变压器的输电功率是由什么因素决定? 科学态度与责任:运用理想变压器的相关知识,体会科学技术在社会生产的应用,形成良好的科学态度。 |



一、 变压器的原理
1.互感
下图中两个线圈缠绕在环形铁圈上,之间没有导线相连,但当左边电流开关闭合时,右边电流中的电流计指针发生偏转,即产生了电流。
我们把一个线圈中的电流变化时,它产生的变化的磁场会在另一个线圈中产生感应电动势,从而产生感应电流,这种现象称为互感,产生的感应电动势叫互感电动势。

互感现象可以把能量从一个电路传到另一个电路。
互感现象本质上是一种电磁感应现象,它不仅发生于绕在同一铁芯上的两个线圈之间,而且可以发生于任何相互靠近的电路之间。
变压器就是利用互感原理制成的,也可以说是利用电磁感应原理制成的。
2.变压器构造:

下图是大型变压器和小型变压器。
变压器由一个闭合的铁芯、原线圈和副线圈组成,两个线圈都是由绝缘导线绕制而成的,铁芯由涂有绝缘漆的硅钢片叠合(减小涡流)而成,是用来改变交流电压的装置,单相变压器的构造示意图及电路图中的符号分别如下图所示。

当原线圈上加交流电压U1时,原线圈中就有交变电流,它在铁芯中产生交变的磁通量,在原、副线圈中都要产生感应电动势。如果副线圈是闭合的,则副线圈中将产生交变的感应电流,它也在铁芯中产生交变磁通量,在原、副线圈中同样要引起感应电动势,也引起电压的升降。
由于这种互相感应的互感现象,原、副线圈间虽然不相连,电能却可以通过磁场从原线圈传递到副线圈。其能量转换方式为:原线圈电能→磁场能→副线圈电能。
【注意】:
(1)变压器是依据电磁感应工作的,因此只能工作在交流电路中,如果变压器接入直流电路,原线圈中的电流不变,在铁芯中不引起磁通量的变化,没有互感现象出现,变压器起不到变压作用。
(2)闭合铁芯可以将更多的磁感线限制在其内,形成一个闭合的磁路,尽量减小磁场能的散失。
(3)变压器不会改变交变电流原线圈中的频率大小。
3.理想变压器
没有漏磁(磁通量全部集中在铁芯内)和发热损失(原、副线圈及铁芯上的电流的热效应不计)的变压器,即没有能量损失的变压器叫做理想变压器,理想化模型。
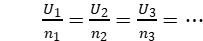
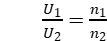
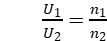
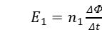
①电压关系
根据知识点一图甲所示,理想变压器原、副线圈的匝数分别为
,原线圈两端加交变电压
,通过闭合铁芯的磁通量发生改变。由于穿过原、副线圈的磁通量变化率相同,在原、副线圈两端分别产生感应电动势
,由法拉第电磁感应定律得
,
,于是有
。
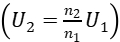
对于理想变压器,不考虑原、副线圈的电压损失,则
,
,即
。
同理,当有几组副线圈时,则有
注意:(1)
,无论副线圈一端是空载还是有负载,都是适用的。
(2)据
知,当
时,
,这种变压器称为升压变压器;
当
时,
,这种变压器称为降压变压器。
(3)变压器的电动势关系、电压关系是有效值(或最大值)间的关系。
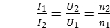
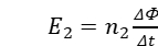
②功率关系:对于理想变压器,不考虑能量损失,
。
当有多个副线圈时:

③电流关系:由功率关系,当只有一个副线圈时:
,得
;
当有多个副线圈时:
【注意】:
(1)对于只有一个副线圈的变压器:电流和匝数成反比。因此,变压器高压线圈匝数多而通过的电流小,可用较细的导线绕制,低压线圈匝数少而通过的电流大,应用较粗的导线绕制。
(2)变压器的电压关系对有一个或几个副线圈的变压器都成立,而电流关系要分副线圈有一个还是多个两种情形。
(3)变压器能改变交流电压、交变电流,但不改变功率和交变电流的频率,输入功率总等于输出功率,副线圈中交变电流的频率总等于原线圈中交变电流的频率。
(4)变压器的电流关系也是有效值(或最大值)间的关系。
4.变压器的能量损失
(1)铁损:涡流现象发热,是变压器的主要能量损失。
(2)铜损:线圈电阻产生焦耳热。
(3)磁损:漏磁损失能量,原副线圈中磁通量不可能严格相等。
5.实验:探究变压器的原副线圈的电压与匝数的关系
实验原理:原线圈的交变电流激发交变磁场,通过铁芯形成回路,在副线圈上产生感应电流,铁芯的磁通量改变量相同。
器材:可拆变压器,低压交流电源,多用电表。
方法:控制变量法。
结论:在误差范围内,原、副线圈的电压之比,等于两个线圈的匝数之比。
6.变压器原理的应用
(1).手机电磁感应无线充电
(2). 自耦变压器

例1. 如图所示,一理想变压器原线圈的匝数n1=1100匝,副线圈的匝数n2=220匝,交流电源的电压
,R为负载电阻,电压表、电流表均为理想电表,则下列说法中正确的是( )

A.交流电的频率为100HzB.电压表的示数为44V
C.电流表A1的示数大于电流表A2的示数D.变压器的输入功率大于输出功率
【答案】B
【解析】由交流电源的电压
,可得交流电的频率为50Hz,选项A错误;
变压器输入电压为220V,由变压公式,输出电压为44V,电压表的示数为44V,选项B正确;
根据变压器电流关系,电流表A1的示数小于电流表A2的示数,选项C错误;
根据理想变压器功率关系,变压器的输入功率等于输出功率,选项D错误。
例2. 一理想变压器原副线圈的匝数比为
,电源电压
,原线圈电路中接入一熔断电流
的保险丝,副线圈中接入一可变电阻R,如图所示,为了使保险丝不致熔断,调节R时,其阻值最低不能小于( )
A.
B.
C.
D.
【答案】C
【解析】保险丝熔断电流
为电流的有效值。
当原线圈电流
时,副线圈中的电流(有效值)为:
,
副线圈的输出电压有效值为
.
因此副线圈电路中负载电阻的最小值为
.故选项C正确。
输电示意图和原理图如下:


1. 功率关系
功率关系:P1=P2,P3=P4,P2=P损+P3
P损=
所以U2增加,I2减小,P损减小。
2. 降低损耗的方法
电能的输送相较于常规能源输送相对比较快捷,但输电过程中会产生电能的损耗(输电线的电热)。
根据P损=I2r,降低输电损耗的两个途径:
(1)减小输电线电阻r
(2)减小输电电流I
因为很难降低输电导线的电阻。输送的电功率一定,电压越高,电流越小,所以常常采用高压输电。
例3. 从发电站输出的功率为200 kW,输电线的总电阻为0.05Ω,用1100V和11kV两种电压输电。试估算两种情况下输电线上由电阻造成的电压损失。
【答案】9.09V 0.91V
【解析】用1100V输电,通过电阻的电流
,
在电阻上产生的电压
. 同理用11kV输电,
题型01 互感原理
例4.(多选)法拉第最初发现电磁感应现象的实验如图所示。软铁环上绕有M、N两个线圈,下列判断正确的是( )

A.开关断开前,软铁环中的磁场为逆时针方向
B.开关断开前,软铁环中的磁场为顺时针方向
C.开关断开的瞬间,电流表中电流的方向为
D.开关断开的瞬间,电流表中电流的方向为
【答案】BC
【解析】AB.开关断开前,线圈M的电流由上端流向下端,根据右手定则可判断出软铁环中的磁场方向为顺时针方向,故A错误,B正确;
CD.开关断开的瞬间,铁环中顺时针方向的磁场突然减小,根据楞次定律,则线圈N中将感应出由
方向的感应电流,故C正确,D错误。
题型02理想变压器各物理量变化的决定因素
如图所示,当理想变压器的原、副线圈的匝数不变时,如果变压器的负载发生变化,要确定其他物理量变化,可依据下列原则:

(1)输入电压
决定输出电压
,这是因为输出电压
,当
不变时,不论负载电阻R变化与否,
不会改变。
(2)输出电流
决定输入电流
,在输入电压
一定的情况下,输出电压U2也被完全确定。
当负载电阻R增大时,
减小,则
相应减小;当负载电阻R减小时,
增大,则
相应增大。
在使用变压器时,不能使变压器次级短路。
(3)输出功率
决定输入功率
,理想变压器的输出功率与输入功率相等,即
。
在输入电压
一定的情况下,当R增大时,
减小,输出功率
减小,输入功率
也相应减小;当负载电阻R减小时,
增大,变压器的输出功率
增大,则输入功率
也将相应增大。
【注意】:①对于变压器,是用多少电能就输入多少电能,而不是输入多少电能就用多少电能。
②原线圈串联电阻(或灯泡)时,电阻两端电压不是线圈两端电压,而副线圈两端串联一个电阻时,电阻两端电压是副线圈两端电压。
例5. 如图所示,理想变压器的交流输入电压
,有两组副线圈,其中
匝,标有“6V 9W”、“12V 12W”的电灯分别接在两副线圈上均正常发光,求:

(1)原线圈的匝数
和另一副线圈的匝数
;
(2)原线圈中电流
。
【答案】(1)
匝
匝(2)
【解析】本题考查了理想变压器的电压、电流、功率关系,关键要看清副线圈有两个。由于两组副线圈上的两个灯均正常发光,所以两个副线圈输出的电压等于各自连接的灯的额定电压,根据电压与匝数的正比关系即可求出原线圈的匝数
和副线圈的匝数
;根据输出功率与输入功率相等的关系可计算出原线圈上的电流强度
。
(1)由于两灯泡均正常发光,所以有
,
.
根据原、副线圈电压与匝数的关系,由
、
,
得
匝,
匝.
(2)由于
,
,所以
.
即
,则
.
例6. 如图所示,变压器的原线圈及两个副线圈的匝数比为n1∶n2∶n3=4∶2∶1,所连接的三个灯消耗的电功率相同。则通过每个灯的电流之比I1∶I2∶I3=_____,每个灯的电阻之比为R1∶R2∶R3=_____ 。

【答案】1:1:2 4:4:1
【解析】注意第一个灯的电压不是线圈n1两端电压。
因为第二个线圈和第三个线圈只有一个灯,所以功率相同,即隐含条件是P2=P3
U2:U3=2:1,所以I2:I3=1:2 ①
电压之比=匝数之比=4:2:1,所以4I1=2I2+I3②
结合①②解得:I1∶I2∶I3=1:1:2
再由灯的功率相等,R=P/R2,得到:R1∶R2∶R3=4:4:1
题型03含有变压器的动态电路分析
1.要符合变压器的基本规律(电压、电流、功率关系);
2.要遵循欧姆定律。
3.明确哪些量在变,哪些量不变。
两种类型问题:
1.原、副线圈匝数比
不变,分析原、副线圈的电压
、
,电流
、
,输出和输入功率
、
随负载电阻变化而变化的情况。
将变压器接到交流电源上,原线圈的输入电压为
,副线圈两端电压
为定值,流过副线圈的电流
随负载电阻的减小而增大,变压器输出功率
也随着增大,不计变压器损失的能量,则变压器输入功率
也增大,流过原线圈的电流
也增大。
所以,进行动态分析的顺序是:
。
2.负载不变,上述物理量随原线圈、副线圈匝数比的变化而变化的情况:一般情况下,我们认为原线圈输入电压
和匝数
不变,当副线圈匝数
增大时,副线圈两端电压
增大,流过副线圈的电流
增大,变压器输出功率
增大,则理想变压器的输入功率
增大,流过原线圈的电流
增大。
例7. 如图所示,理想变压器的a、b端加上某一交流电压(电压有效值保持不变),副线圈c、d端所接灯泡L恰好正常发光。此时滑线变阻器的滑片P于图示位置。现将滑片P下移 (导线电阻不计),则以下说法中正确的是( )

A.灯仍能正常发光,原线圈输入电流变小 B.灯不能正常发光,原线圈输入功率变大
C.灯不能正常发光,原线圈输入电压变大 D.灯仍能正常发光,原线圈输入功率不变
【答案】A
【解析】U1不变,U2不变,所以灯L能正常发光,R变大,I2变小,P2变小,P1也变小,A正确。
例8. (单选)如图所示的电路中,变压器为理想变压器,a、b接在电压有效值不变的交流电源两端,R0为定值电阻,R为滑动变阻器。现将变阻器的滑片从一个位置滑动到另一位置,观察到电流表A1的示数增大了0.2 A,电流表A2的示数增大了0.8 A,则下列说法正确的是( )

A.电压表V1示数增大 B.电压表V2、V3示数均增大
C.该变压器起升压作用 D.变阻器滑片是沿c→d的方向滑动
【答案】D
【解析】由于a、b接在不变交变电压两端,故V1示数U1不变,A错误;
U1不变,则U2也不变,即V2示数不变,I2增大所以I2R0增大,V3示数变小,B错误;
I1:I2=n2:n1,所以ΔI1:ΔI2=n2:n1=1:4,所以是降压,C错误;
U3变小,I2变大,所以R变小,从c往d滑动,D正确。
题型04高压输电线上的损失
方法总结:记住下图,(1)U3=U2-U线 (2) P线=I22r线

例9. 某个小水电站发电机的输出功率为100kW,发电机的电压为250V。通过升压变压器升压后向远处输电,输电线的总电阻为8Ω,在用户端用降压变压器把电压降为220V。要求在输电线上损失的功率控制在5 kW(即用户得到的功率为95kW)。求:
(1)降压变压器输出的电流为多少?输电线上通过的电流是多少?
(2)输电线损失的电压为多少?升压变压器输出的电压是多少?
(3)两个变压器的匝数比各应等于多少?
【答案】(1) 431.8A25A(2)200V4000V (3) 1:16 190:11
【解析】(1) 用户电压是220V,得到的功率是95kW,所以I =P/U=431.8A
输电线消耗的功率是5kW,电阻是8Ω,由P=I2r得电流I=25A
(2)输电线上损失的电压U=Ir=25×8=200V
发电机功率=升压变压器副线圈功率,所以100kW=UI,I=25A,U=4000V
(3)升压变压器的匝数比n1:n2=250:4000=1:16 降压变压器的匝数比n3:n4=(4000-200):220=190:11
1.一台理想变压器,其原线圈
匝,副线圈
匝,并接一个
的负载电阻,如图所示。

(1)当原线圈接在44V直流电源上时,电压表示数为______V,电流表示数为_______A。
(2)当原线圈接在220V交流电源上时,电压表示数为_______V,电流表示数为________A,
此时输入功率为________W,变压器效率为________。
【答案】(1)0,0 (2)44, 0.44, 19.36, 100%
【解析】(1)原线圈接在直流电源上时,不产生电磁感应,故电压表,电流表示数为零。
(2)由
得:
(电压表读数),
(电流表读数),
,效率
=100%。
2.(多选)理想变压器工作时( )
A.输入电流增大会引起输出电流增大 B.输入电压升高会引起输出电压升高
C.输出电流减小,输入电流一定减小D.输出功率增大,输入功率一定增大
【答案】BCD
【解析】输入电流是由输出电流决定的,即用多少电能就输入,A错误,BCD正确。
3.如图,理想变压器原、副线圈匝数之比为20:1,两个标有“12V,6W”的小灯泡并联在副线圈的两端。当两灯泡都正常工作时,原线圈电路中电压表和电流表(可视为理想的)的示数分别是

A.120V,0.10A B.240V,0.025A
C.120V,0.05 A D.240V,0.05 A
【答案】D
【解析】由匝数之比可知U1=240V,由功率相等I1×240V=6+6=12W,所以I1=0.05A。
4.如图所示为一理想变压器,原线圈的输入电压
,副线圈的输出电压
,绕过铁芯的导线所接的电压表的示数
,则:

(1)原、副线圈的匝数各是多少?
(2)当S断开时,
的示数
,那么
的示数是多少?
【答案】(1)1650匝,110匝 (2)0.33A
【解析】电压表示数
是一匝线圈上的电压。
(1)根据变压比
及
,
有
,
.
(2)对理想变压器有
,单匝的线圈接电压表,没有输出功率。
即
.
。
5.(多选)如图所示,理想变压器的副线圈上通过输电线接两个相同的灯泡
和
,输电线的等效电阻为R。开始时,电键K断开,当K接通时,以下说法中正确的是( )

A.副线圈两端M、N的输出电压减小B.副线圈输电线等效电阻R上的电压降增大
C.通过灯泡
的电流减小D.原线圈中的电流增大
【答案】BCD
【解析】副线圈的电压由原线圈匝数比和输入电压决定,与副线圈电路无关,A错误;
总电阻减小,干路电流增大,R上的电压增大,B正确;
通过L1的电压=副线圈电压-R上电压,所以减小,电流也减小,C正确;
副线圈总功率变大,所以原线圈的功率也增大,电压不变,电流增大,D正确。
6.(多选)如图所示电路中要使电流表读数变大,可采用的方法有( )

A .将R上的滑片向上移动 B .将R上的滑片向下移动
C .将电键S由1掷向2 D.将电键S由1掷向3
【答案】BC
【解析】电压不变,电阻减小可使电流增大,所以滑片向下滑动可以,B正确;
提供R两端电压也可以使电流增大,所以减小原线圈匝数,即S掷向2,C正确。
7. 如图甲、乙所示的电路中,当A、B接10V交变电压时,C、D间电压为4V;当M、N接10V直流电压时,P、Q间电压也为4V。现把C、D接4V交流电压,P、Q接4V直流电压,则A、B间和M、N间的电压分别是( )

A.10V,10V B.10V,4V C.4V,10V D.10V,0
【答案】B
【解析】变压器的原副线圈可以颠倒,所以CD接4V交流电压,则AB输出10V交流电;
PQ接入4V直流电压,上端电阻无电流通过,所以电压也是4V,B正确。
8. 如果用220V和11kV两种电压来输电设输送的电功率、输电线上功率损失、导线的长度和电阻率都相同,求导线的横截面积之比。
【答案】2500:1
【解析】
所以 S和输电平分成反比,S1:S2=2500:1.
9. 一理想变压器原、副线圈匝数比n1∶n2=11∶5,原线圈与正弦交变电源连接,输入电压u如图所示.副线圈仅接入一个10 Ω的电阻.则( )

A.流过电阻的电流是20 A
B.与电阻并联的电压表的示数是100V
C.经过1分钟电阻发出的热量是6×103J
D.变压器的输入功率是1×103W
【答案】 D
【解析】 原线圈中电压的有效值是220 V.由变压比知副线圈中电压为100 V,流过电阻的电流是10 A;与电阻并联的电压表的示数是100 V;经过1 分钟电阻发出的热量Q=I2Rt=6×104J;
P入=P出=2=10V=1×103W.只有D项正确.
10.如图所示,理想变压器的原、副线圈的匝数比为3:1,在原、副线圈的回路中分别接有阻值相同的电阻,原线圈一侧接在电压为220V的正弦交流电源上,求:

(1)副线圈回路中电阻两端的电压;
(2) 原、副线圈回路中电阻消耗的功率之比
【答案】(1)66V (2)1:9
【解析】(1) 设副线圈中R两端电压为U,则原线圈两端电压为3U,根据线圈功率相等
解得:U=66V
(2) I1:I2=1:3,所以P1:P2=1:9
11.(多选)在绕制变压器时,某人将两个线圈绕在如图所示变压器铁芯的左右两个臂上。当通以交变电流时,每个线圈产生的磁通量都只有一半通过另一个线圈,另一半通过中间的臂。已知线圈1、2的匝数之比
,则在不接负载的情况下,下列说法中正确的是( )

A.当线圈1的输入电压为220V时,线圈2的输出电压为110 V
B.当线圈1的输入电压为220V时,线圈2的输出电压为55V
C.当线圈2的输入电压为110V时,线圈1的输出电压为220V
D.当线圈2的输入电压为110V时,线圈1的输出电压为110V
【答案】BD
【解析】在不考虑原、副线圈内电阻的情况下,变压器原、副线圈电压之比(
)等于原、副线圈中产生的感应电动势之比(
)。
当给线圈1输入电压U1时:
,
当从线圈2输入电压U2时:
。
12.如图所示,理想变压器输入电压为
(V),原、副线圈的匝数之比为n1:n2=10:1,各电表均为理想电表,电压表V1、V2的读数分别为U1、U2,电流表A1、A2的读数分别为I1、I2,若电阻R1、R2消耗的功率相同,则( )

A.电压表V2的读数为22V B.U1I1=U2I2
C.R1:R2=100:1 D.若只增大R2,电压表V1、V2的读数均不变
【答案】C
【解析】输入电压的有效值=220V,在R1上消耗一部分电压,所以n1上电压小于220V,所以n2上的电压小于22V,A错误;
U1I1不是n1上的功率,所以不等于U2I2,B错误;
因为n1:n2=10:1,I1:I2=1:10,又功率P相等,P=I2R,所以R1:R2=100:1,C正确;
V1是输入交流电的有效值,所以不变。
R2增大,I2减小,I1减小,通过R1的电流减小,两端电压减小,n1=U输入-UR1,所以增大,U2也增大,D错误。
反证法:假设V2不变,R2增大,则P2减小,则线圈n1的功率P1也减小。又因为V2不变,则n1的电压也不变,则R1的电压也不变,则电流也不变,所以n1的功率不变,互相矛盾,D错误。
1、本网站所提供的信息,只供教育教学参考之用。
2、本网站及其会员一概毋须以任何方式就任何信息传递或传送的失误、不准确或错误对用户或任何其他人士负任何直接或间接的责任。
3、在法律允许的范围内,本网站在此声明,不承担用户或任何人士就使用或未能使用本网站所提供的信息或任何链接或项目所引致的任何直接、间接、附带、从属、特殊、惩罚性或惩戒性的损害赔偿。
4、访问者在从事与本网站相关的所有行为(包括但不限于访问浏览、利用、转载、宣传介绍)时,必须以善意且谨慎的态度行事;访问者不得故意或者过失的损害本网站的各类合法权益,不得利用本网站以任何方式直接或者间接的从事违反中华人民共和国法律、国际公约以及社会公德的行为。对于访问者利用本网站提供的信息而作出的任何决策、决定以及其后果,本网站不承担任何责任
5、本网站图片,文字之类版权,本网站无法鉴别所上传图片或文字的知识版权,如果侵犯,请及时通知我们,本网站将在第一时间及时删除。
6、凡以任何方式登录本网站或直接、间接使用本网站资料者,视为自愿接受本网站声明的约束。
UePlus


