2025年福建省物理真题
一、单选题
1.山崖上有一个风动石,无风时地面对风动石的作用力是
,当受到一个水平风力时,风动石依然静止,地面对风动石的作用力是
,以下正确的是()
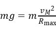
A.
大于
B.
大于
C.
等于
D. 大小关系与风力大小有关
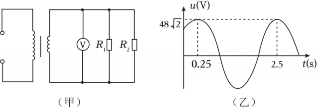
2.某理想变压器如图甲,原副线圈匝数比4:1,输入电压随时间的变化图像如图乙,
的阻值为
的2倍,则()
A. 交流电的周期为
B. 电压表示数为12V
C. 副线圈干路的电流为
电流的2倍 D. 原副线圈功率之比为4:1
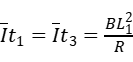
3.如图所示,空间中存在两根无限长直导线
与
,通有大小相等,方向相反的电流。导线周围存在M、O、N三点,M与O关于
对称,O与N关于
对称且
,初始时,M处的磁感应强度为
,O点磁感应强度为
,现保持
中电流不变,仅将
撤去,求N点的磁感应强度()
A.
B.
C.
D. 
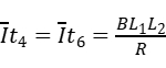
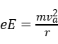
4.某种静电分析器简化图如图所示,在两条半圆形圆弧板组成的管道中加上径向电场。现将一电子a自A点垂直电场射出,恰好做圆周运动,运动轨迹为ABC,半径为r。另一电子b自A点垂直电场射出,轨迹为弧APQ,其中PBO共线,已知BP电势差为U,
,a粒子入射动能为
,则()
A. B点的电场强度
B. P点场强大于C点场强
C. b粒子在P点动能小于Q点动能 D. b粒子全程克服电场力做功小于2eU
二、多选题
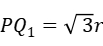
5.春晚上转手绢的机器人,手绢上有P、Q两点,圆心为O,
,手绢做匀速圆周运动,则()
A. P、Q线速度之比为
B. P、Q角速度之比为
C. P、Q向心加速度之比为
D. P点所受合外力总是指向O
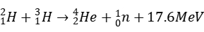
6.核反应方程为
,现真空中有两个动量大小相等,方向相反的氘核与氚核相撞,发生核反应,设反应释放的能量几乎转化为
与
的动能,则()
A. 该反应有质量亏损 B. 该反应为核裂变
C.
获得的动能约为14MeV D.
获得的动能约为14MeV
7.空间中存在垂直纸面向里的匀强磁场B与水平向右的匀强电场E,一带电体在复合场中恰能沿着MN做匀速直线运动,MN与水平方向呈
,NP水平向右。带电量为q,速度为v,质量为m,当粒子到N时,撤去磁场,一段时间后粒子经过P点,则()
A. 电场强度为
B. 磁场强度为
C. NP两点的电势差为
D. 粒子从
时距离NP的距离最大值为
8.传送带转动的速度大小恒为
,顺时针转动,物块A,B中间有一根轻弹簧,A的质量为1kg,B的质量为2kg,A与传送带的动摩擦因数为
,B与传送带的动摩擦因数为
。
时,A速度为
,方向向右,B的速度为零。在
时,A与传送带第一次共速,此时弹簧弹性势能
,传送带足够长,A可留下痕迹,则()
A. 在
时,B的加速度大小大于A的加速度大小
B.
时,B的速度为
C.
时,弹簧的压缩量为
D.
过程中,A与传送带的痕迹小于
三、填空题
9.洗衣机水箱的导管内存在一竖直空气柱,根据此空气柱的长度可知洗衣机内的水量多少。当空气柱压强为
时,空气柱长度为
,水位下降后,空气柱温度不变,空气柱内压强为
,则空气柱长度
,该过程中内部气体对外界。
填做正功,做负功,不做功

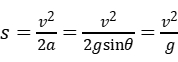
10.沙漠中的蝎子能感受来自地面震动的纵波和横波,某波源同时产生纵波与横波,已知纵波速度大于横波速度,频率相同,则纵波波长横波波长。若波源震动后,蝎子感知到来自纵波与横波的振动间隔
,纵波速度
,横波速度
,则波源与蝎子的距离为。
11.两个点电荷
与
静立于竖直平面上,于P点放置一检验电荷恰好处于静止状态,
与
夹角为
,
,则
与
电量之比为,在
连线上是否存在其它点能让同一检验电荷维持平衡状态
存在,不存在
。
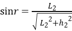
12.
为测糖水的折射率与浓度的关系,设计如下实验:某次射入激光,测得数据如图,则糖水的折射率为。
改变糖水浓度,记录数据如下表:
n |
|
|
|
|
|
|
|
|
|
|
|
将
的数据描点,并绘图,求得糖水浓度每增加
,折射率的增加值为
保留两位有效数字
。
四、计算题
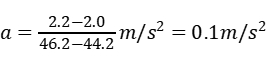
13.某运动员训练为直线运动,其
图如图所示,各阶段图像均为直线。
内的平均速度;
内的加速度;
内的位移。

14.如图甲,水平地面上有A、B两个物块,两物块质量均为
,A与地面动摩擦因数为
,B与地面无摩擦,两物块用弹簧置于外力F的作用下向右前进,F与位移x的图如图乙所示,P为圆弧最低点,M为最高点,水平地面长度大于4m。重力加速度g取
。

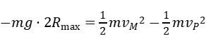
求0
1m,F做的功;
时,A与B之间的弹力;
要保证B能到达M点,圆弧半径满足的条件。
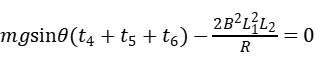
15.光滑斜面倾角为
,Ⅰ区域与Ⅱ区域均存在垂直斜面向外的匀强磁场,两区磁感应强度大小相等。正方形线框abcd质量为m,总电阻为R,同种材料制成且粗细均匀,Ⅰ区域长为
,Ⅱ区域长为
,两区域间无磁场的区域长度大于线框长度。线框从某一位置释放,cd边进入Ⅰ区域时速度为v,且直到ab边离开Ⅰ区域时速度均为v,当cd边进入Ⅱ区域时的速度和ab边离开Ⅱ区域时的速度一致,则:

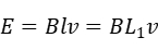
求线框释放点cd边与Ⅰ区域上边缘的距离;
求cd边进入Ⅰ区域时cd边两端的电势差;
求线框进入Ⅱ区域到完全离开过程中克服安培力做功的平均功率。
答案和解析
1.【答案】A
【解析】风动石在两种情况下都处于静止状态,即平衡状态。在无风时,风动石受到重力G和地面对它的作用力
,这两个力平衡,所以
。当受到水平风力时,风动石受到重力G、水平风力
和地面对它的作用力
,这三个力平衡。地面对风动石的作用力
与重力G和水平风力
的合力大小相等、方向相反。则
大于
,A正确,BC错误。
D 选项无论风力大小如何,
都等于重力G和水平风力
的合力,一定大于
,大小关系与风力大小无关,D错误。
2.【答案】B
【解析】A.由图像可知交流电的周期为
,故A错误;
B.由图像可知输入电压有效值为
,则
,故电压表示数为12V,B正确;
C.
的阻值为
的2倍,两者并联,故
电流为
电流的2倍;故副线圈干路的电流为
电流的3倍,C错误;
D.根据理想变压器原理可知,原副线圈功率相同,故D错误;
3.【答案】B
【解析】由对称性可知,
在O、M点及
在O、N点的磁感应强度的大小相等,设为
同理,
在N点与
在M点的磁感应强度的大小相等,设为
由安培定则可知,O点的磁感应强度,
,M点的磁感应强度,
,解得
;
当将
撤去,N点磁感应强度等于
在N点的磁感应强度
,故选B。
4.【答案】D
【解析】
a粒子入射动能为
,根据动能的表达式有
,粒子恰好做圆周运动,则
,联立解得
,故A错误;
B.由图可知,P点电场线密度较稀疏,则场强小于C点场强,故B错误;
C.已知|CQ
BP|,因为BC在同一等势线上,且沿电场方向电势降低,则Q点电势小于P点,电子在电势低处电势能大,则b粒子在Q点电势能大,根据能量守恒可知,b粒子在Q点动能较小,故C错误;
D.由电场线密度分布情况可知,沿径向向外电场强度减小,则BP之间平均电场强度大小大于CQ之间的平均电场强度大小,根据
,则
,则b粒子全程的克服电场力做功
,故D正确。
故选D。
5.【答案】AD
【解析】B.P、Q两点围绕O点做同轴转动;则两者角速度相等,故B错误;
线速度
,故P、Q线速度之比为
,A正确,向心加速度
,P、Q向心加速度之比为
,C错误;
D.手绢做匀速圆周运动,故P点所受合外力总是指向O,D正确;
故选AD;
6.【答案】AC
【解析】A.核反应过程中质量数守恒,但质量是有亏损的,A正确;
B.该反应是核聚变反应,B错误;
在真空中,该反应满足动量守恒定律,由于相撞前氘核与氚核动量大小相等,方向相反,系统总动量为零。故反应后氦核与中子的动量也大小相等,方向相反。由动能和动量的关系式
,得反应粒子获得的动能之比为
,反应后两个粒子获得的总动能为
,则可得
获得的动能
,
获得的动能
,C正确,D错误。
7.【答案】BC
【解析】
由题意可知,未撤磁场之前,带电体在复合场中恰能沿着MN做匀速直线运动,可知带电体受力情况如图1所示。
带电体匀速运动,受力平衡可知
,解得电场强度
,磁感应强度
,故A错误,B正确。
C.当粒子到N撤去磁场后,粒子所受合力方向与运动方向垂直,做类平抛运动,如图2所示。
且加速度
,粒子到达P点时,位移偏转角为
,故在P点,速度偏转角的正切值
,所以粒子在P点的速度
,N到P过程,由动能定理,有
,解得NP两点间的电势差
,C正确;
D.将粒子在N点的速度沿水平方向和竖直方向进行分解,可知粒子在竖直方向做竖直上抛运动,且
,故粒子能向上运动的最大距离
,D错误;
故选BC。
8.【答案】BD
【解析】对物块受力分析可知摩擦力
,其中A所受摩擦力方向向左,B所受摩擦力方向向右,AB弹簧系统所受外力为零,故系统动量守恒,
,在
时,A与传送带第一次共速,则
,解得此时B的速度为
;B正确;
AB物块
运动过程中,
;
,
故
错误;
物块
运动过程中,有
,解得
;故物块AB与传送带的相对位移之和为
,故
时,弹簧的压缩量为
,C错误;
过程中,A与传送带的痕迹
;B与传送带的痕迹
,又过程中
,
;故
,
,故D正确。
故选BD。
9.【答案】
做正功
【解析】
设空气柱体积为V、横截面积为S,
对于等温过程,由玻意耳定律,有
,即
,故
;
由题意,水位下降后,空气柱体积增加,气体在等温膨胀过程中,对外界做正功。
10.【答案】大于

【解析】
由于纵波和横波的频率相同,由波长、波速即频率的关系
可知,纵波的波长大于横波的波长;
设波源与蝎子的距离为S,则有:
,解得:
11.【答案】
不存在
【解析】
根据几何关系设
,则
,对检验电荷进行受力分析,可得
由库仑定律可知,
,
联立解得
:
根据平衡条件可知,检验电荷受到的重力和两点电荷的库仑力组成一个封闭的三角形。
假设在PQ1连线上存在其它点能让同一检验电荷维持平衡状态,如图所示,根据三角形定则可知,此时两个点电荷对检验电荷的库仑力都变大;由于此时检验电荷与点电荷
间的距离在增大,库仑力在减小,故矛盾,假设不成立,故在PQ1连线上不存在其它点能让同一检验电荷维持平衡状态。
12.【答案】

【解析】
设入射角为i,折射角为r,由几何关系有
,
;
由折射定律,糖水的折射率
。
由表中数据作图如下:
由图可得,糖水浓度每增加
,折射率的增加值
。
13.【答案】由
图可得
1
内的平均速度
,方向与正方向相同;
2
内的加速度
,方向与正方向相同;
3
内的位移
,方向与正方向相同。
【解析】详细解答过程见【答案】。
14.【答案】
在0
1m内,力F做功为
设两物块的质量均为m,将AB视作整体,由牛顿第二定律有
,其中
设AB之间的弹力为
,对物块B,由牛顿第二定律有
联立解得:
当AB之间的弹力
时,二者将分离,由
可知,此时
,
在0
3m内,
图线与横轴所围面积表示做功多少,即
对AB整体,设二者分离时的速度为v,由动能定理有
,解得
由于B与地面无摩擦,故B经过圆弧最低点P时的速度
设B刚好达到M点时的速度为
,圆弧半径的最大值为
对物块B,在M点,由牛顿第二定律有
对物块B,由P至M过程,由动能定理有
联立解得:
,故圆弧半径满足的条件为
【解析】本题综合考查功的计算以及竖直面圆周运动的临界问题,应用圆周运动规律、牛顿第二定律以及动能定理,结合整体法、临界法进行分析求解。
15.【答案】
线框进入Ⅰ区域前,做匀加速直线运动,其加速度
则求线框释放点cd边与Ⅰ区域上边缘的距离
由cd边进入Ⅰ区域时速度为v,且直到ab边离开Ⅰ区域时速度均为v;可知线框边长为
,且线框一直处于平衡状态;
,
cd边进入Ⅰ区域时,cd边切割磁感线产生感应电动势为
cd边为电源,故cd边两端的电势差为
若
,线框在Ⅱ区域运动过程中,根据动量定理可知
进入
在磁场中
出磁场
其中
,
联立方程可知
解得
线框进入Ⅱ区域到完全离开过程中根据动能定理可知
故安培力做功的平均功率
若
;同理根据动量定理可得
进入
在磁场中
出磁场
其中
,
联立方程可知
解得
线框进入Ⅱ区域到完全离开过程中根据动能定理可知
故安培力做功的平均功率
【解析】详细答案和详细解答过程见答案
附件 (1个)
1、本网站所提供的信息,只供教育教学参考之用。
2、本网站及其会员一概毋须以任何方式就任何信息传递或传送的失误、不准确或错误对用户或任何其他人士负任何直接或间接的责任。
3、在法律允许的范围内,本网站在此声明,不承担用户或任何人士就使用或未能使用本网站所提供的信息或任何链接或项目所引致的任何直接、间接、附带、从属、特殊、惩罚性或惩戒性的损害赔偿。
4、访问者在从事与本网站相关的所有行为(包括但不限于访问浏览、利用、转载、宣传介绍)时,必须以善意且谨慎的态度行事;访问者不得故意或者过失的损害本网站的各类合法权益,不得利用本网站以任何方式直接或者间接的从事违反中华人民共和国法律、国际公约以及社会公德的行为。对于访问者利用本网站提供的信息而作出的任何决策、决定以及其后果,本网站不承担任何责任
5、本网站图片,文字之类版权,本网站无法鉴别所上传图片或文字的知识版权,如果侵犯,请及时通知我们,本网站将在第一时间及时删除。
6、凡以任何方式登录本网站或直接、间接使用本网站资料者,视为自愿接受本网站声明的约束。
UePlus










