2025年河南省物理真题
一、单选题
1.野外高空作业时,使用无人机给工人运送零件。如图,某次运送过程中的一段时间内,无人机向左水平飞行,零件用轻绳悬挂于无人机下方,并相对于无人机静止,轻绳与竖直方向成一定角度。忽略零件所受空气阻力,则在该段时间内()
A. 无人机做匀速运动 B. 零件所受合外力为零
C. 零件的惯性逐渐变大 D. 零件的重力势能保持不变
【答案】D
【解析】
因为无人机向左水平飞行,零件用轻绳悬挂于无人机下方,并相对于无人机静止,轻绳与竖直方向成一定角度。对零件受力分析,受重力和绳子的拉力,由于零件沿水平方向做直线运动,可知合外力沿水平方向,提供水平方向的加速度。零件水平向左做匀加速直线运动,AB错误;
C.零件的质量没变,所以零件的惯性不变,C错误;
D.无人机向左水平飞,且零件相对于无人机静止,所以零件的高度不变,则零件的重力势能保持不变,D正确。
2.折射率为
的玻璃圆柱水平放置,平行于其横截面的一束光线从顶点入射,光线与竖直方向的夹角为
,如图所示。该光线从圆柱内射出时,与竖直方向的夹角为
不考虑光线在圆柱内的反射


A.
B.
C.
D. 
【答案】B
【解析】由题意,作出光路图如下:

第一次折射时,由
,解得
;
第二次折射时,由
,解得
;
由几何关系可知,该光线从圆柱内射出时,与竖直方向的夹角
,故选B。
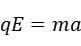
3.2024年天文学家报道了他们新发现的一颗类地行星Gliese12b,它绕其母恒星的运动可视为匀速圆周运动。已知Gliese12b轨道半径约为日地距离的
,其母恒星质量约为太阳质量的
,则Gliese12b绕其母恒星的运动周期约为

A.13天 B. 27天 C. 64天 D. 128天
【答案】A
【解析】设日地距离为
,太阳质量为
,地球绕太阳运动的周期
天,
则对于Gliese12b,轨道半径
,其母恒星质量
,绕其母恒星的运动周期为T,
行星绕恒星做匀速圆周运动,万有引力提供向心力,由牛顿第二定律有
,解得
,
故
,即
天
天,故选A。
4.如图,在与纸面平行的匀强电场中有a、b、c三点,其电势分别为
、
、
;a、b、c分别位于纸面内一等边三角形的顶点上。下列图中箭头表示a点电场的方向,则正确的是


A.
B. 
C.
D. 
【答案】C
【解析】匀强电场中,沿同一方向,距离相等的两点间的电势差相等,则ac的中点的电势与b点的电势相等
如下图
,
则ac的中垂线所在的平面为该电场中的一个等势面,由于电场线与等势面垂直且由电势高的地方指向电势低的地方,因此a点的电场方向为由a指向c,故选C。
5.如图,一金属薄片在力F作用下自左向右从两磁极之间通过。当金属薄片中心运动到N极的正下方时,沿N极到S极的方向看,下列图中能够正确描述金属薄片内涡电流绕行方向的是


A. 
B. 
C. 
D. 
【答案】C
【解析】当金属薄片中心运动到N极正下方时,由于金属薄片向右运动,穿过金属薄片左侧的磁通量增加,根据楞次定律可知,感应电流产生的磁场方向与原磁场方向相反;穿过金属薄片右侧的磁通量减小,根据楞次定律可知,感应电流产生的磁场方向与原磁场方向相同。由于原磁场竖直向下,沿N极到S极的方向看,此时金属薄片内涡流的绕行方向,左边涡流是逆时针,右边涡流是顺时针,符合这一情况的是C选项。
6.由于宇宙射线的作用,在地球大气层产生有铍的两种放射性同位素
和
。测定不同高度大气中单位体积内二者的原子个数比,可以研究大气环境的变化。已知
和
的半衰期分别约为53天和139万年。在大气层某高度采集的样品中,研究人员发现
和
的总原子个数经过106天后变为原来的
,则采集时该高度的大气中
和
的原子个数比约为

A.
B.
C.
D. 
【答案】B
【解析】设采集时大气中有x个
原子和y个
原子,由于
的半衰期为139万年,故经过106天后
原子的衰变个数可以忽略不计,
的半衰期为53天,故经过106天后剩余数量为
,由题干条件列示如下
,解得
。B正确。
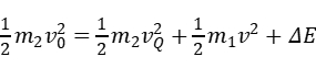
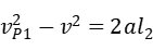
7.两小车P、Q的质量分别为
和
,将它们分别与小车N沿直线做碰撞实验,碰撞前后的速度v随时间t的变化分别如图1和图2所示。小车N的质量为
,碰撞时间极短,则


A.
B.
C.
D. 
【答案】D
【解析】由于碰撞时间极短,故两辆小车碰撞时动量守恒,对于P与N的碰撞过程由动量守恒定律可知:
,即
,由于
,故
;同理可得
,故有
,D正确。
二、多选题
8.贾湖骨笛是河南博物院镇馆之宝之一,被誉为“中华第一笛”。其中一支骨笛可以发出
等音。己知
音和
音所对应的频率分别为880Hz和1175Hz,则

A. 在空气中传播时,
音的波长大于
音的
B. 在空气中传播时,
音的波速小于
音的
C. 由空气进入水中,
音和
音的频率都变大
D. 由空气进入水中,
音的波长改变量大于
音的
【答案】AD
【解析】
机械波在介质中的传播速度由介质本身的性质决定,与频率无关,故同一种介质中声波传播速度相同,声波在介质中传播时,其波速
,故声波频率越高,其波长越短,故A正确,B错误;
声波由由空气进入水中,频率不变,波速变大,波速变化量相同
,由于
音比
音频率小,则
音的波长改变量大于
音;故C错误,D正确;
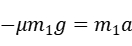
9.手机拍照时手的抖动产生的微小加速度会影响拍照质量,光学防抖技术可以消除这种影响。如图,镜头仅通过左、下两侧的弹簧与手机框架相连,两个相同线圈c、d分别固定在镜头右、上两侧,c、d中的一部分处在相同的匀强磁场中,磁场方向垂直纸面向里。拍照时,手机可实时检测手机框架的微小加速度a的大小和方向,依此自动调节c、d中通入的电流
和
的大小和方向
无抖动时
和
均为零
,使镜头处于零加速度状态。下列说法正确的是


A. 若
沿顺时针方向,
,则表明a的方向向右
B. 若
沿顺时针方向,
,则表明a的方向向下
C. 若a的方向沿左偏上
,则
沿顺时针方向,
沿逆时针方向且
D. 若a的方向沿右偏上
,则
沿顺时针方向,
沿顺时针方向且
【答案】BC
【解析】A.若
沿顺时针方向,
,则镜头向左运动,则表明a的方向向右,A错误;
B.若
沿顺时针方向,
,则镜头向下运动,则表明a的方向向下,B正确;
C.若a的方向左偏上
,则可知镜头向上运动以及向左运动拉伸弹簧,且向左运动的分速度大于向上运动的分速度,可知
沿顺时针方向,
沿逆时针方向,根据
可得
,C正确;
D.若a的方向右偏上
,则可知镜头向上运动以及向右运动,且向右运动的分速度大于向上运动的分速度,可知
沿顺时针方向,
沿顺时针方向,根据
可得
,D错误。
故选BC。
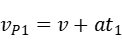
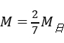
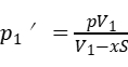
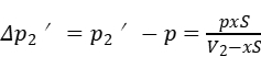
10.如图,一圆柱形汽缸水平固置,其内部被活塞M、P、N密封成两部分,活塞P与汽缸壁均绝热且两者间无摩擦。平衡时,P左、右两侧理想气体的温度分别为
和
,体积分别为
和
,
。则


A. 固定M、N,若两侧气体同时缓慢升高相同温度,P将右移
B. 固定M、N,若两侧气体同时缓慢升高相同温度,P将左移
C. 保持
、
不变,若M、N同时缓慢向中间移动相同距离,P将右移
D. 保持
、
不变,若M、N同时缓慢向中间移动相同距离,P将左移
【答案】AC
【解析】
固定M、N时,升高温度后,左侧温度
,右侧温度
,由于
,左侧温度变化比例
大于右侧
,导致左侧压力增加更多。又因为再次平衡时
,则活塞P将向右移动。故A正确,B错误;
保持
、
不变,气体做等温变化,根据玻意耳定律
为常量
。设M、N向中间移动的距离为x,活塞横截面积为S,初始压强都为p。
左侧气体变化后体积
,根据玻意耳定律
,则
,压强变化量
同理可得右侧气体压强变化量
,由于
,
,左侧压强增加得更多,活塞P将右移,故C正确,D错误。
故选AC。
三、实验题
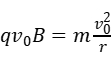
11.实验小组研究某热敏电阻的特性,并依此利用电磁铁、电阻箱等器材组装保温箱。该热敏电阻阻值随温度的变化曲线如图1所示,保温箱原理图如图2所示。回答下列问题:
图1中热敏电阻的阻值随温度的变化关系是
填“线性”或“非线性”
的。
存在一个电流值
,若电磁铁线圈的电流小于
,衔铁与上固定触头a接触;若电流大于
,衔铁与下固定触头b接触。保温箱温度达到设定值后,电磁铁线圈的电流在
附近上下波动,加热电路持续地断开、闭合,使保温箱温度维持在设定值。则图2中加热电阻丝的c端应该与触头
填“a”或“b”
相连接。
当保温箱的温度设定在
时,电阻箱旋钮的位置如图3所示,则电阻箱接入电路的阻值为

(4)若要把保温箱的温度设定在
,则电阻箱接入电路的阻值应为
【答案】非线性;a;
;
;
【解析】
观察图1中所示的热敏电阻阻值随温度的变化曲线,发现其不是一条直线。在物理学中,线性关系对应的图像是直线,所以热敏电阻的阻值随温度的变化关系是非线性的。
根据图1可知温度升高,热敏电阻的阻值变小,根据欧姆定律可知流过电磁铁线圈的电流变大,衔铁与上固定触头b接触,此时加热电阻丝电路部分断开连接,停止加热,可知图2中加热电阻丝的c端应该与触头a相连接。
由图3可知电阻箱接入电路的阻值为
。
根据图1可知,当温度为
时,热敏电阻的阻值为
,电阻箱接入的电阻为
,当温度为
时,热敏电阻的阻值为
,要使得电流值
不变,则在电流为
时,控制电路的总电阻不变,则此时电阻箱的电阻为
。
12.实验小组利用图1所示装置验证机械能守恒定律。可选用的器材有:交流电源
频率
、铁架台、电子天平、重锤、打点计时器、纸带、刻度尺等。
下列所给实验步骤中,有4个是完成实验必需且正确的,把它们选择出来并按实验顺序排列:
填步骤前面的序号
①先接通电源,打点计时器开始打点,然后再释放纸带
②先释放纸带,然后再接通电源,打点计时器开始打点
③用电子天平称量重锤的质量
④将纸带下端固定在重锤上,穿过打点计时器的限位孔,用手捏住纸带上端
⑤在纸带上选取一段,用刻度尺测量该段内各点到起点的距离,记录分析数据
⑥关闭电源,取下纸带
图2所示是纸带上连续打出的五个点A、B、C、D、E到起点的距离。则打出B点时重锤下落的速度大小为
保留3位有效数字

纸带上各点与起点间的距离即为重锤下落高度h,计算相应的重锤下落速度v,并绘制图3所示的
关系图像。理论上,若机械能守恒,图中直线应
填“通过”或“不通过”
原点且斜率为
用重力加速度大小g表示
。由图3得直线的斜率
保留3位有效数字
。
定义单次测量的相对误差
,其中
是重锤重力势能的减小量,
是其动能增加量,则实验相对误差为
用字母k和g表示
;当地重力加速度大小取
,则
保留2位有效数字
,若
,可认为在实验误差允许的范围内机械能守恒。
【答案】④①⑥⑤;
;通过;2g;
;
;
【解析】
①②应先先接通电源,待打点计时器打点稳定后,再释放纸带,故②错误;
③由
可知,质量m可以约掉,故不需要称量重锤的质量;
④此步骤正确且为实验必需,应作为第一步;
⑤此步骤正确且为实验必需,处理数据应在步骤⑥之后;
⑥此步骤正确且为实验必需,应在步骤①后及时关闭电源、取下纸带。
故实验步骤排序为:④①⑥⑤。
由题意,纸带上相邻计数点时间间隔
,
对于匀变速直线运动,中间时刻瞬时速度等于该过程平均速度,故
。
若机械能守恒,由
可得
,故理论上
图线应通过原点,且斜率
;
由图可知,斜率
。
;
当地重力加速度大小取
,则
。
四、计算题
13.流式细胞仪可对不同类型的细胞进行分类收集,其原理如图所示。仅含有一个A细胞或B细胞的小液滴从喷嘴喷出
另有一些液滴不含细胞
,液滴质量均为
。当液滴穿过激光束、充电环时被分类充电,使含A、B细胞的液滴分别带上正、负电荷,电荷量均为
。随后,液滴以
的速度竖直进入长度为
的电极板间,板间电场均匀、方向水平向右,电场强度大小为
。含细胞的液滴最终被分别收集在极板下方
处的A、B收集管中。不计重力、空气阻力以及带电液滴间的作用。

求:
含A细胞的液滴离开电场时偏转的距离;
、B细胞收集管的间距。
【答案】

【解析】
含A细胞的液滴在偏转电场中,加速度为
液滴在电场运动时间为
故含A细胞的液滴离开电场时偏转的距离
,带入数值解得
液滴射出电场后做匀速直线运动,
,
联立方程解得
故A、B细胞收集管的间距
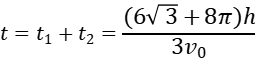
14.如图,在一段水平光滑直道上每间隔
铺设有宽度为
的防滑带。在最左端防滑带的左边缘静止有质量为
的小物块P,另一质量为
的小物块Q以
的速度向右运动并与P发生正碰,且碰撞时间极短。已知碰撞后瞬间P的速度大小为
,P、Q与防滑带间的动摩擦因数均为
,重力加速度大小
。

求:
该碰撞过程中损失的机械能;
从开始运动到静止经历的时间。
【答案】

【解析】
与Q发生正碰,由动量守恒定律
由能量守恒定律
联立可得
,
对物块P受力分析由牛顿第二定律:
物块P在第一个防滑带上运动时,由运动学公式
,
解得:
则物块P在第一个防滑带上运动的时间为
物块P在光滑的直道上做匀速直线运动,则
解得
物块P在第二个防滑带上运动时,由运动学公式
,
解得:
物块P在第二个防滑带上运动的时间为
物块P在光滑的直道上做匀速直线运动,则
解得
物块P在第三个防滑带上运动时,由运动学公式
,
故P静止在第三个防滑带上,物块P在第二个防滑带上运动的时间为
P从开始运动到静止经历的时间为
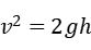
15.如图,水平虚线上方区域有垂直于纸面向外的匀强磁场,下方区域有竖直向上的匀强电场。质量为m、带电量为
的粒子从磁场中的a点以速度
向右水平发射,当粒子进入电场时其速度沿右下方向并与水平虚线的夹角为
,然后粒子又射出电场重新进入磁场并通过右侧b点,通过b点时其速度方向水平向右。a、b距水平虚线的距离均为h,两点之间的距离为
。不计重力。

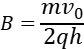
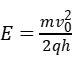
求磁感应强度的大小;
求电场强度的大小;
若粒子从a点以
竖直向下发射,长时间来看,粒子将向左或向右漂移,求漂移速度大小。
一个周期内粒子的位移与周期的比值为漂移速度
【答案】
根据题意可知,粒子的轨迹如图所示
其中
,设粒子在磁场中做圆周运动的半径为r,根据几何关系可知
解得
,
在磁场中,洛伦兹力提供向心力:


粒子出电场时,速度大小为
,,方向与水平虚线的夹角仍为
,
粒子在电场中运动的水平位移
粒子在电场中运动的时间
在竖直方向有:
,
匀变速直线运动中,由速度与时间的关系可得:
联立解得:
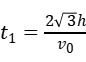
若粒子从a点以
竖直向下发射,画出粒子的运动轨迹,
由于粒子在磁场中运动的速度大小仍为
,粒子在磁场中运动的半径仍为2h,由几何关系可知,粒子进入电场时速度与虚线的夹角为
,由
问可知,粒子在电场中运动的时间
AB间的距离为
,
则
粒子在磁场中运动时间为

所以有粒子每隔时间t向右移动
,漂移速度大小
【解析】详细答案和详细解答过程见答案
附件 (1个)
1、本网站所提供的信息,只供教育教学参考之用。
2、本网站及其会员一概毋须以任何方式就任何信息传递或传送的失误、不准确或错误对用户或任何其他人士负任何直接或间接的责任。
3、在法律允许的范围内,本网站在此声明,不承担用户或任何人士就使用或未能使用本网站所提供的信息或任何链接或项目所引致的任何直接、间接、附带、从属、特殊、惩罚性或惩戒性的损害赔偿。
4、访问者在从事与本网站相关的所有行为(包括但不限于访问浏览、利用、转载、宣传介绍)时,必须以善意且谨慎的态度行事;访问者不得故意或者过失的损害本网站的各类合法权益,不得利用本网站以任何方式直接或者间接的从事违反中华人民共和国法律、国际公约以及社会公德的行为。对于访问者利用本网站提供的信息而作出的任何决策、决定以及其后果,本网站不承担任何责任
5、本网站图片,文字之类版权,本网站无法鉴别所上传图片或文字的知识版权,如果侵犯,请及时通知我们,本网站将在第一时间及时删除。
6、凡以任何方式登录本网站或直接、间接使用本网站资料者,视为自愿接受本网站声明的约束。
UePlus