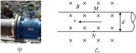
环保监测常用到电磁流量计,相关部门为了测量某管道污水的排放量,常在充满污水的排污管末端安装一个电磁流量计,其结构如图甲所示。流量计的测量原理如图乙所示,污水中有带正、负电的粒子,在非磁性材料做成的圆管道内有磁感应强度大小为
的匀强磁场区域,已知管道直径为
,某时刻管道中的污水流过此磁场区域时,测出管壁上下
、
两点的电势差
,就可计算出管中污水的流量,单位时间内流过管道横截面的液体体积为流量,下列说法正确的是( )

A.管壁上
点电势低于
点
B.
两点间的电场强度为
C.该排污管内污水的速度约为
D.管中导电液体的流量约为
【参考答案】C
该题有详细解析可以查阅1、本网站所提供的信息,只供教育教学参考之用。
2、本网站及其会员一概毋须以任何方式就任何信息传递或传送的失误、不准确或错误对用户或任何其他人士负任何直接或间接的责任。
3、在法律允许的范围内,本网站在此声明,不承担用户或任何人士就使用或未能使用本网站所提供的信息或任何链接或项目所引致的任何直接、间接、附带、从属、特殊、惩罚性或惩戒性的损害赔偿。
4、访问者在从事与本网站相关的所有行为(包括但不限于访问浏览、利用、转载、宣传介绍)时,必须以善意且谨慎的态度行事;访问者不得故意或者过失的损害本网站的各类合法权益,不得利用本网站以任何方式直接或者间接的从事违反中华人民共和国法律、国际公约以及社会公德的行为。对于访问者利用本网站提供的信息而作出的任何决策、决定以及其后果,本网站不承担任何责任
5、本网站图片,文字之类版权,本网站无法鉴别所上传图片或文字的知识版权,如果侵犯,请及时通知我们,本网站将在第一时间及时删除。
6、凡以任何方式登录本网站或直接、间接使用本网站资料者,视为自愿接受本网站声明的约束。
UePlus