
第十一章 电路及其应用



【考点1 电源和恒定电流】
1.电源
(1)电源有正、负两个电极,正极聚集正电荷,负极聚集负电荷。电源能在负极失去电子的过程中,不断地从正极取走电子,补充给负极。
(2)电源的作用:让正、负极之间始终存在电势差,使电路中存在持续的电流。
2.恒定电场
(1)电源、导线等电路元件所积累的电荷在电源两极周围空间形成电场,尽管电路中电荷在运动,但有的流走了,另外的又来补充,电荷的分布是稳定的,不随时间变化,电场的分布也不会随时间变化,因此形成的是恒定电场。
(2)由于在恒定电场中,任何位置的电荷分布和电场强度都不随时间变化,所以它的基本性质与静电场相同。在静电场中所讲的电势、电势差及其与电场强度的关系等,在恒定电场中同样适用。
3.恒定电流的形成
在恒定电场的作用下,导体中的自由电荷做定向运动,在运动过程中与导体内不动的粒子不断碰撞,碰撞阻碍了自由电荷的定向运动,结果是大量自由电荷定向运动的平均速率不随时间变化,形成大小、方向都不随时间变化的电流即恒定电流。
【考点2 电流的强弱程度——电流】
1.对公式I=t的理解
电流的强弱程度用电流表示,符号是I。单位时间内流过导体横截面的电荷量越多,电流就越大,且I=t。
(1)公式I=t求出的是电流在时间t内的平均值,对于恒定电流其瞬时值与平均值相等。
(2)电解液中正、负离子定向移动的方向虽然相反,但正、负离子定向移动形成的电流方向是相同的,应用I=t时,q为时间t内通过某横截面的正电荷总电荷量和负电荷总电荷量的绝对值之和。
(3)I=t是电流的定义式,或者说是求解电流的一种方法,电流I与q、t无正反比关系。
(4)q=It是流过导体某横截面的电荷量的计算式。
2.对公式I=nqSv的理解
(1)I=nqSv是电流的微观表达式,其中n为导体中单位体积内的自由电荷数,q为每个自由电荷的电荷量,v为自由电荷定向移动的平均速率,S为导体的横截面积。
(2)导体中电流的强弱I取决于导体中单位体积内的自由电荷数n、每个自由电荷的电荷量q、自由电荷定向移动的平均速率v、导体的横截面积S。
(3)利用I=nqSv分析问题时应注意使各物理量都取国际单位。
3.三种速率的比较
比较项 | 物理意义 | 大小/(m·s-1) |
自由电子定向移动的平均速率 | 金属导体内自由电子的定向移动形成电流,电流与自由电子定向移动的平均速率的关系为I=neSv | 10-4 |
电流的传导速率 | 等于光速。电路接通,导线内以光速c形成恒定电场,各处的自由电子几乎同时开始定向移动形成电流 | 3×108 |
电子热运动的速率 | 导体内电子不停地做无规则的热运动,由于向各个方向运动的机会均等,不能形成电流 | 105 |
4.电池的容量:电池放电时能输出的总电荷量,通常以“安时”(A·h)或“毫安时”(mA·h)作单位。
【考点3 电阻 影响导体电阻的因素】
1.电阻
由活动1知,可定义一个表示导体对电流阻碍作用的物理量——电阻R。公式R=I是电阻的定义式,适用于任何纯电阻元件电阻的计算,公式给出了量度电阻大小的一种方法。而导体的电阻由导体本身的性质决定,与外加的电压和通过的电流大小无关。
注:I=R是欧姆定律的数学表达式,表示通过导体的电流I与电压U成正比,与电阻R成反比。适用于纯电阻元件中的金属、电解质溶液。
2.导体的UI图像

如图,图像的斜率表示导体的电阻,RA>RB。
3.影响导体电阻的因素
通过实验探究可以得出:同种材料的导体,其电阻R与它的长度l成正比,与它的横截面积S成反比;导体电阻还与构成它的材料有关。写成公式则是R=ρS。
式中ρ是与导体材料有关的比例系数,表征了导体材料的某种特性,叫作这种材料的电阻率。
4.R=I与R=ρS的比较
R=I | R=ρS | |
意义 | 电阻的定义式,R与U、I无关 | 电阻定律的表达式,也是电阻的决定式 |
作用 | 提供了测定电阻的一种方法:伏安法 | 提供了测定电阻率的一种方法:ρ=l |
适用 范围 | 适用于一切纯电阻元件 | 适用于粗细均匀的金属导体或浓度均匀的电解质溶液 |
【考点4导体的电阻率】
1.对电阻率的认识
电阻率是一个反映材料导电性能的物理量,是导体材料本身的特性,与导体的形状、大小无关。
(1)纯金属的电阻率较小,合金的电阻率较大。连接电路的导线一般用电阻率小的铜来制作,必要时可在导线表面镀银。由于用电器的电阻通常远大于导线的电阻,一般情况下,可以认为导线电阻为0。
(2)电阻率往往随温度的变化而变化
①金属的电阻率随温度的升高而增大,可用于制作电阻温度计。
②大部分半导体的电阻率随温度的升高而减小,且电阻率随温度的变化较大,可用于制作热敏电阻(了解即可)。
③有些合金,电阻率几乎不受温度变化的影响,常用来制作标准电阻。
④一些金属在温度特别低时电阻可以降到0,这种现象叫作超导现象。
2.电阻与电阻率的对比
有电阻率才有电阻,但也不是电阻率大的电阻就一定大,电阻与电阻率有关,但影响电阻的因素较多,列表对比。
电阻R | 电阻率ρ | |
描述对象 | 导体 | 材料 |
物理意义 | 反映导体对电流阻碍作用的大小,R大,阻碍作用大 | 反映材料导电性能的好坏,ρ大,导电性能差 |
决定因素 | 由材料、温度和导体形状、大小决定 | 由材料、温度决定,与导体形状、大小无关 |
单位 | 欧姆(Ω) | 欧姆·米(Ω·m) |
联系 | R=ρS,ρ大,R不一定大,导体对电流阻碍作用不一定大;R大,ρ不一定大,材料导电性能不一定差 | |
3.伏安特性曲线
(1)伏安特性曲线的概念:用横坐标表示电压U,纵坐标表示电流I,这样画出的IU图像叫作导体的伏安特性曲线。
(2)线性元件:伏安特性曲线是一条过原点的直线,欧姆定律适用(即电流与电压成正比,电阻几乎不随温度变化)的元件。如金属、电解质溶液。
(3)非线性元件:伏安特性曲线是一条曲线,欧姆定律不适用(即电流与电压不成正比)的元件。如气态导体(如日光灯管、霓虹灯管中的气体)和半导体元件。
注:如图所示,非线性元件的IU图线是曲线,导体电阻Rn=In,即电阻等于图线上点(Un,In)与坐标原点连线的斜率的倒数,而不等于该点切线斜率的倒数。
【考点5常用仪器的使用与读数】
(1)游标卡尺
①原理:利用主尺的单位刻度与游标尺的单位刻度的微量差值来提高测量精度。不管游标尺上有多少个小等分刻度,它的刻度部分的总长度比主尺上的同样多的小等分刻度少1 mm。精确度=游标刻度数,常见的游标卡尺有10分度、20分度、50分度,其相关数据见下表:
刻度格数 (分度) | 刻度总长度 | 每小格与 1 mm的差值 | 精确度 (可准确到) |
10 | 9 mm | 0.1 mm | 0.1 mm |
20 | 19 mm | 0.05 mm | 0.05 mm |
50 | 49 mm | 0.02 mm | 0.02 mm |
②读数:若用x表示由主尺上读出的整毫米数,k表示从游标尺上读出的与主尺上某一刻线对齐的游标的格数,则记录结果表示为(x+k×精确度) mm。
③使用:当外(内)测量爪一侧的两个刃接触时,游标尺上的零刻度线与主尺上的零刻度线正好对齐。将被测物体夹(套)在这两个刃之间,把主尺读数和游标尺读数综合起来,就是被测量物体的长度。
(2)螺旋测微器
①原理:固定刻度B的螺距是0.5 mm,即旋钮D每旋转一周,F沿着旋转轴线方向前进或后退0.5 mm,而可动刻度E上的刻度为50等份,每旋转一小格,F前进或后退0.01 mm。即螺旋测微器的精确度为0.01 mm。读数时误差出现在毫米的千分位上。
②读数:测量时被测物体长度准确到0.5毫米的部分由固定刻度读出,小于0.5毫米的部分由可动刻度读出。
测量值(mm)=固定刻度数(mm)(注意半毫米刻度线是否露出)+可动刻度数(估读一位)×0.01(mm)。
③使用:先使F与A接触,E的左边缘与B的零刻度线对正;将被测物体夹在F与A之间,旋转D,当F快靠近物体时,停止使用D,改用D′,听到“喀喀”声时停止;然后读数。
【考点6测量电路与控制电路】
伏安法测电阻是电学实验的基础,它渗透在电学实验的各个环节中,如测未知电阻、测电阻率、测电表内阻等。在伏安法测电阻实验中,测量电路选择合适的电流表和电压表连接方式,可以减小系统测量误差;控制电路选择恰当的滑动变阻器接法,可以使测量安全或数据充分。
1.测量电路中电表的接法
(1)电流表内、外接法的比较
内接法 | 外接法 | |
电路图 |
|
|
误差原因 | 电流表分压U测=Ux+UA | 电压表分流I测=Ix+IV |
电阻测量值 | R测=I测=Rx+RA>Rx测量值大于真实值 | R测=I测=Rx+RV<Rx测量值小于真实值 |
适用条件 | RA≪Rx | RV≫Rx |
适用于测量 | 大电阻 | 小电阻 |
(2)两种电表接法的选择
①阻值比较法:先将待测电阻的估计值与电压表、电流表内阻进行比较,若Rx较小,宜采用电流表外接法;若Rx较大,宜采用电流表内接法。
②比值比较法
a.若Rx>RA(或Rx< ),则用电流表外接法。
b.若Rx<RA(或Rx> ),则用电流表内接法。

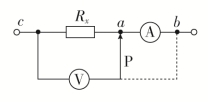
③试触法:如图所示,将电压表分别接在a、c和b、c两点间时,若电流表示数变化较明显Ua,说明电压表分流较大,应选用电流表内接法;若电压表示数变化较明显Ua,说明电流表分压较大,则选用电流表外接法。
2.控制电路中滑动变阻器的接法
(1)滑动变阻器两种接法的比较
限流接法 | 分压接法 | 对比说明 | ||
两种接法 电路图(忽略电源内阻) |
|
| 串、并联关系不同 | |
负载R上电压调节范围 | R+R0≤U≤E | 0≤U≤E | 分压电路调节范围大 | |
负载R上 电流调节范围 | R+R0≤I≤R | 0≤I≤R | 分压电路调节范围大 | |
闭合S前触头位置 | b端 | a端 | 都是为了保护电路元件 | |
(2)滑动变阻器必须接成分压电路的几种情况
①要求电压表能从零开始读数,或要求电压(或电流)变化范围足够大。
②当待测电阻Rx≫R(滑动变阻器的最大阻值)时。
③若采用限流式接法,电路中的最小电流仍超过电路中电表等元件的允许电流。
注:为了便于调节,分压式接法要选用最大阻值较小的滑动变阻器。
【考点7串、并联电路中的电流、电压和电阻】
1.串、并联电路中,电压和电流的分配关系
(1)串联电路中,各电阻两端的电压跟它的阻值成正比。
(2)并联电路中,通过各支路电阻的电流跟它的阻值成反比。
2.串、并联电路总电阻的比较
(1)电阻越串越大,越并越小。
(2)比较表格
串联电路的总电阻R总 | 并联电路的总电阻R总 | |
不同点 | n个相同电阻R串联,R总=nR | n个相同电阻R并联,R总=n |
R总大于任一电阻阻值 | R总小于任一电阻阻值 | |
一个大电阻和一个小电阻串联时,总电阻接近大电阻 | 一个大电阻和一个小电阻并联时,总电阻接近小电阻 | |
相同点 | 多个电阻无论串联还是并联,其中任一电阻增大或减小,总电阻也随之增大或减小 | |
【考点8电表的改装】
1.小量程电流表(表头)的三个参数
(1)电流表的内阻Rg、满偏电流Ig、满偏电压Ug三者满足关系:Ug=IgRg,三个量只要知道其中任意两个量,就可以求第三个量。
(2)不管做什么样的改装,电流表、电压表达到量程时都是表头满偏时,此时表头通过的电流都是Ig。
2.用小量程电流表改装成电压表、电流表
电表 项目 | 改装为大量程电压表 | 改装为大量程电流表 |
原理 | 串联电阻分压 | 并联电阻分流 |
改装原理图 |
|
|
分压电阻或分流电阻 | U=IgR+IgRg, 所以R=Ig-Rg | IgRg=(I-Ig)R, 所以R=I-Ig |
改装后的电表内阻 | RV=R+Rg>Rg | RA=R+Rg<Rg |
【考点9多用电表的使用与读数】
1.外部构造
多用电表可以用来测电流、电压和电阻,如图所示是一种多用电表的外形图,表的上半部分为表盘,下半部分是选择开关,开关周围标有测量功能的区域及量程。

①表盘:共有三行刻度线,最上面的刻度线的左端标有“∞”,右端标有“0”,是用于测电阻的,其刻度是不均匀的,从右向左越来越密;中间的刻度线用于测直流电流、直流电压和交变电压,其刻度是均匀分布的;最下面一条刻度线左侧标有“2.5 V~”,是交流2.5 V专用,其刻度是不均匀的。
②选择开关:周围标有测量功能的区域和量程。将多用电表的选择开关旋转到电流挡,多用电表就测量电流;当选择开关旋转到其他功能区域时,就可测量电压或电阻。
③插孔及调零旋钮
a.一对正、负插孔通过表笔与待测元件相连,红表笔插“+”插孔,黑表笔插“-”插孔。
b.指针定位螺丝,即机械调零旋钮,用它可以进行机械调零,即旋转该调零螺丝,可使指针(在不接入电路中时)指在左端“0”刻线。
c.欧姆调零旋钮,测电阻之前,用它可进行欧姆调零。
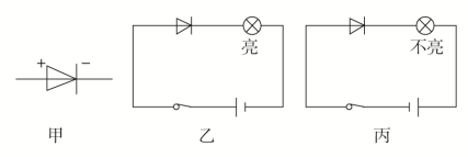
2.二极管的单向导电性
(1)二极管是由半导体材料制成的,它有两个极,即正极和负极,它的符号如图甲所示。
(2)二极管具有单向导电性(符号上的箭头表示允许电流通过的方向)。当电流从正极流入时,它的电阻比较小,如图乙所示;当电流从正极流出时,它的电阻比较大,如图丙所示。

(3)将多用电表的选择开关拨到欧姆挡,红、黑表笔接到二极管的两极上,当黑表笔接“正”极,红表笔接“负”极时,电阻示数较小,反之电阻示数很大,由此可判断出二极管的正、负极。
3.用多用电表测电阻的步骤
(1)调整定位螺丝,使指针指向电流的零刻度。
(2)选择开关置于“Ω”挡的“×1”,短接红、黑表笔,调节欧姆调零旋钮,使指针指向电阻的零刻度,然后断开表笔,再使指针指向∞刻度处。
(3)将两表笔分别接触阻值为几十欧的定值电阻两端,读出指示的电阻值,然后断开表笔,再与标定值进行比较。
(4)选择开关改置“×100”挡,重新进行欧姆调零。
(5)再将两表笔分别接触标定值为几千欧的电阻两端,读出指示的电阻值,然后断开表笔,与标定值进行比较。
(6)测量完毕,将选择开关置于交流电压最高挡或“OFF”挡。

易错点及纠正
易错点一:等效电流的计算
【易错题1】北京正负电子对撞机的储存环是长为240 m的近似圆形轨道,当环中的电流为10 mA时,若电子的速率为光速的十分之一,则在整个环中运行的电子数目为( )
A.5.0×1011 B.5.0×1019
C.1.0×1013 D.1.0×103
【答案】A
【解析】电子运动一周所需要的时间t=×3×108s=8×10-6s,在圆形轨道上任取一横截面,则在t时间内整个环中的电子刚好都通过该截面一次,故环中运行电子的总电荷量为q=It=10×10-3×8×10-6C=8×10-8C,环中运行的电子数N=e=1.6×10-19=5.0×1011,A正确。
易错点二:电解质溶液中电流的计算
【易错题2】如图所示的电解质溶液接入电路后,在t时间内有n1个一价正离子通过溶液内截面S,有n2个二价负离子通过溶液内截面S,设e为元电荷,则以下关于通过该截面的电流的说法中,正确的是( )

A.电流大小为零
B.电源外部电流方向由A指向B,电流大小I=t
C.电源内部电流方向由B指向A,电流大小I=t
D.电源外部电流方向由A指向B,电流大小I=t
【答案】D
【解析】电流从电源正极流出,从电源负极流入,所以在电源外部电流方向由A指向B,t时间内通过溶液内截面S的电荷量为向右移动的正电荷与向左移动的负电荷的电荷量的绝对值之和,所以I=t=t,D正确。
易错点三:电表的串、并联对比分析
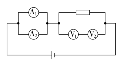
易错题3:(多选)四个相同的小量程电流表(表头)分别改装成两个电流表A1、A2和两个电压表V1、V2。已知电流表A1的量程大于A2的量程,电压表V1的量程大于V2的量程,改装好后把它们按如图所示接入电路,则( )

A.电流表A1的读数大于电流表A2的读数
B.电流表A1指针的偏转角小于电流表A2指针的偏转角
C.电压表V1的读数小于电压表V2的读数
D.电压表V1指针的偏转角等于电压表V2指针的偏转角
【答案】AD
【解析】A1、A2表中表头和分流电阻并联,显然流过A1、A2两电流表表头的电流相等,故两表指针的偏转角相等,而A1的量程大于A2的量程,故A1的读数大于A2的读数,A正确,B错误;V1、V2表中表头和分压电阻串联,两表头中电流相等,指针的偏转角也相等,而V1的量程大于V2的量程,故V1的读数大于V2的读数,C错误,D正确。
易错点四:小灯泡的电阻分析
易错题4:一只“220 V 100 W”的灯泡工作时电阻为484 Ω,拿一只同样的灯泡来测量它不工作时的电阻,下列说法中正确的是( )
A.小于484 Ω B.大于484 Ω
C.等于484 Ω D.无法确定
【答案】A
【解析】灯泡工作时的电阻为高温状态的电阻,不工作时的电阻为常温下的电阻,根据金属材料的电阻率随温度的升高而增大,可得A正确。
易错点五:复杂电路中的电压、电流关系
易错题5:(多选)某一网络电路中的部分电路如图所示,已知I=3 A,I1=2 A,R1=10 Ω,R2=5 Ω,R3=30 Ω,则下列结论正确的是( )

A.通过R3的电流为0.5 A,方向从a→b
B.通过R3的电流为0.5 A,方向从b→a
C.通过电流表的电流为0.5 A,电流从左向右流过电流表
D.通过电流表的电流为0.5 A,电流从右向左流过电流表
【答案】BC
【解析】由电路图知,流过R2的电流I2=I-I1=3 A-2 A=1 A,R1两端的电势差U1=I1R1=2 A×10 Ω=20 V,R2两端的电势差U2=I2R2=1 A×5 Ω=5 V,根据电流流向可判断电势左高右低,比较U1、U2可判断R3两端电势上低下高,U3=20 V-5 V=15 V,电流由b流向a,电流大小I3=R3=30 Ω=0.5 A,A错误,B正确;因为通过结点b的干路电流等于各支路电流之和,所以通过电流表的电流大小为IA=I2-I3=1 A-0.5 A=0.5 A,方向从左向右,C正确,D错误。
【思想方法练】
一、等效法
方法概述
等效替换是把陌生、复杂的物理现象、物理过程在保证某种效果、特性或关系相同的前提下,转化为简单、熟悉的物理现象、物理过程来研究,从而认识研究对象本质和规律的一种思想方法。在直流电路的分析与计算中,我们时常会用到等效法。
【典例1】实验室中有一量程为100mA的灵敏电流计G,为较精确地测量该灵敏电流计的内阻,小明同学采用两种方案,利用定值电阻R1=100Ω将灵敏电流计改装后接入如图所示的电路中,部分实验器材的参数如下:

A.蓄电池(电动势约9V)
B.标准电流表A(量程0~0.3A)
C.电阻箱(0~999.9Ω)
方案一:
(1)首先,调节滑动变阻器阻值至最大,将开关S1闭合,然后将开关S2拨向1,调节滑动变阻器,使电流表A的示数为I;然后将开关S2拨向2,保持滑动变阻器滑片的位置不变,调节电阻箱,使得电流表示数仍为I;
(2)记下此时电阻箱的示数R0,则灵敏电流计的内阻Rg=(用题中所给物理量的字母表示);
(3)此方案灵敏电流计内阻的测量值(填“大于”“等于”或“小于”)真实值。
方案二:
(4)开始实验,调节滑动变阻器阻值至最大,将开关S1闭合,然后将开关S2拨向1,调节滑动变阻器,使电流表A的示数为I,灵敏电流计G的示数为I1;然后调节滑动变阻器,得到多组I和I1的数值,并画出I-I1图像,图像的斜率大小为k,则灵敏电流计的内阻Rg=(用题中所给字母表示)。
【答案】
等于 
【详解】(2)[1]由题意

解得灵敏电流计的内阻

(3)[2]实验中,开关S2拨向1与开关S2拨向2,两次电路中总电流相同,滑动变阻器和标准电流表电阻没有发生改变,所以灵敏电流计内阻的测量值等于真实值。
(4)[3]由题意得

可知

由以上各式可得

【典例2】.利用二氧化锡半导体型酒精传感器组装一个酒精测试仪,已知该传感器电阻随酒精浓度变化规律如图甲所示。国际公认酒驾标准为“
”,醉驾标准为“
”。现有器材:
A.二氧化锡半导体型传感器
B.直流电源(电动势为
,内阻不计)
C.电压表V(量程为
,内阻非常大,作为浓度表使用)
D.电阻箱R(最大阻值为
)
E.定值电阻
(阻值为
)
F.定值电阻
(阻值为
)
G.单刀双掷开关一个,导线若干

(1)图乙是酒精测试仪电路图,电路中
应选用定值电阻(选填
或
);
(2)按照下列步骤调节此测试仪:
①电路接通前,先将电阻箱调为
,然后开关向(选填“c”或“d”)端闭合,将电压表此时指针对应的电压刻度标记为
;
②逐步减小电阻箱的阻值,电压表的示数不断变大,按照甲图数据将电压表上电压刻度线都标记为对应的“酒精浓度”;
③将开关向另一端闭合,酒精测试仪即可正常使用。
(3)将可正常使用的酒精测试仪靠近酒精瓶口,电压表如图丙,则定值电阻两端电压
=V,此时流过传感器
的电流
A(结果保留3位有效数字)。
【答案】
c
1.20 0.120
【详解】(1)[1]对乙图根据闭合电路欧姆定律可得电压表读数为

电压表量程为
,有

根据甲图可知

代入数值解得

所以选择
。
(2)[2][3]本实验中利用变阻箱阻值和传感器电阻值进行等效替换,所以将电阻箱调为
后,需将电阻箱接入电路,即开关向c端闭合;根据甲图可知当
时对应的酒精浓度为
。
(3)[4][5]最小分度值为0.1V,所以定值电阻两端电压
=1.20V
流过传感器
的电流

二、半偏法
方法概述
半偏法是一种科学巧妙的测定电阻的方法,操作和具体实施比较简单,常见的有“半偏电流法”和“半偏电压法”。
【典例1】某同学利用半偏法测量量程为2mA的电流表的内阻(小于100Ω),实验电路如图所示。可供选择的器材有:

A.电阻箱(最大阻值9999.9Ω)
B.电阻箱(最大阻值999.9Ω)
C.直流电源
(电动势3V)
D.开关两个,导线若干。
实验步骤如下:
①按图正确连接线路;
②闭合开关
、断开开关
,调节电阻箱
,使电流表满偏;
③保持电阻箱
接入电路的电阻不变,再闭合开关
,调节电阻箱
使电流表示数为1mA,记录电阻箱
的阻值。
(1)实验中电阻箱
应选择(选填“A”或“B”)。
(2)在步骤③中,若记录的电阻箱阻值
,则可得到电流表的内阻为Ω;若考虑到在接入电阻箱
时,干路上电流发生的微小变化,则用该办法测出的电流表内阻的测量值真实值(选填“小于”、“等于”或“大于”)。
(3)若将此电流表改装成量程为0~3V的电压表,则应将电流表(选填“串”或“并”)联一个阻值为kΩ的电阻。
【答案】(1)A;(2) 50.0,小于;(3)串 ,1.45
【详解】(1)[1]当电流表满偏时电流为2mA,此时回路中电阻值为

所以变阻箱选最大阻值9999.9Ω,故选A。
(2)[1]闭合开关
、断开开关
,调节电阻箱R1,使电流表满偏即回路中电流为2mA,保持电阻箱接入电路的电阻不变,再闭合开关
,调节电阻箱使电流表示数为1mA,回路中总电流为2mA,所以流过R2的电流与流过电流表的电流相等,两者是并联关系,电压也相等,则电阻也相等,表示电流表的电阻为
。
[2]由于接入电阻箱R2,导致干路上电流变大,当电流表示数为1mA,则流过变阻箱R1的电流大于1mA,这样导致测量值小于真实值。
(3)[1][2]若将此电流表改装成量程为0~3V的电压表,则应将电流表串联一个电阻。根据

得

【典例2】.某同学有一块满偏电流Ig=250μA的电流表G。需要将它改装为4mA量程的电流表。
(1)他采用如图所示电路测量电流表G的内阻Rg。断开S1闭合S2时电流表G读数为Ig,若再闭合S1后干路电流仍保持为Ig,则当电流表G读数为时,电流表G内阻Rg与电阻箱
(量程为999.99Ω)的阻值之比为1:2。

(2)据此原理,该同学测出电流G内阻。下面是打乱的操作,正确的步骤排序为。
A.读出
的阻值为180.0Ω,断开开关
B.闭合开关S2,调节R的阻值使电流表G指针偏转到满刻度
C. 将R的阻值调至最大
D.闭合开关S1保持R的阻值不变,调节
的阻值使电流表G指针偏转到某一刻度,使电流表G内阻Rg与电阻箱
的阻值之比为 1:2。
(3)改装为4mA量程的电流表,需要将电阻箱
并联在电流表G两端,调其阻值为Ω。
【答案】
CBDA 6.0/6
【详解】(1)[1]由于断开S1闭合S2时电流表G读数为Ig,若再闭合S1后干路电流仍保持为Ig,即闭合S1前后电路的干路电流不变,而电流表G内阻Rg与电阻箱
(量程为999.99Ω)的阻值之比为1:2,则有

其中

解得

(2)[2]根据上述可知,该电路测量电流表G的内阻采用了半偏法。实验操作过程中,为了确保安全,先需要将R的阻值调至最大,随后闭合开关S2,调节R的阻值使电流表G指针偏转到满刻度,再闭合开关S1保持R的阻值不变,调节
的阻值使电流表G指针偏转到某一刻度,使电流表G内阻Rg与电阻箱
的阻值之比为 1:2,最后读出
的阻值为180.0Ω,断开开关。可知实验正确的操作顺序为CBDA
(3)[3]根据上述,电流表G的的内阻

则改装为4mA量程的电流表,需要将电阻箱
并联在电流表G两端,调其阻值为

三、电桥法
方法概述
电桥法是一种比较法,受电表精度和接入误差影响较小,测量精确度很高。
【典例】高二1班物理学习小组采用如图所示的电路测定未知电阻
,其中
、
为定值电阻,
为电阻箱,G为灵敏电流计,实验步骤如下:
(1)实验前,先用多用电表粗测
的阻值,用“×100”挡时发现指针偏转角过大,他应换用(选填“×10”或“×1k”)挡;

(2)闭合开关,调整电阻箱的阻值,当电阻箱读数为
时,灵敏电流计G的示数为零,此时A、B两点电势填(“相等”或“不相等”),测得
用
、
、
表示);如果电阻
阻值有误差,实际阻值更大,则
的测量值比实际值(填“偏大”、“偏小”或“相等”)。
【答案】(1)×10;(2) 相等
偏大
【详解】(1)实验前,先用多用电表粗测Rx的阻值,用“×100”挡时发现指针偏转角过大,说明电阻较小,应用更小挡位,故应换用“×10”挡位。
(2)[1]当电阻箱读数为R0时,灵敏电流计G的示数为零,此时AB两点电势相等。
[2][3]因为两点间无电流,根据电桥原理可知

解得

根据表达式可知R1实际值偏大,待测电阻的测量值偏大。

一、考点考向
1、游标卡尺、螺旋测微器的读数
2、电流的微观表达式
3、R=ρS的应用
4、混联电路的电压、电流分析
5、电表的改装和校准
6、实验:导体电阻率的测量
7、实验:练习使用多用电表
二、常考题型
本章内容热点考查主要集中在实验:导体电阻率的测量和实验:练习使用多用电表,主要以实难题形式考查。
1、本网站所提供的信息,只供教育教学参考之用。
2、本网站及其会员一概毋须以任何方式就任何信息传递或传送的失误、不准确或错误对用户或任何其他人士负任何直接或间接的责任。
3、在法律允许的范围内,本网站在此声明,不承担用户或任何人士就使用或未能使用本网站所提供的信息或任何链接或项目所引致的任何直接、间接、附带、从属、特殊、惩罚性或惩戒性的损害赔偿。
4、访问者在从事与本网站相关的所有行为(包括但不限于访问浏览、利用、转载、宣传介绍)时,必须以善意且谨慎的态度行事;访问者不得故意或者过失的损害本网站的各类合法权益,不得利用本网站以任何方式直接或者间接的从事违反中华人民共和国法律、国际公约以及社会公德的行为。对于访问者利用本网站提供的信息而作出的任何决策、决定以及其后果,本网站不承担任何责任
5、本网站图片,文字之类版权,本网站无法鉴别所上传图片或文字的知识版权,如果侵犯,请及时通知我们,本网站将在第一时间及时删除。
6、凡以任何方式登录本网站或直接、间接使用本网站资料者,视为自愿接受本网站声明的约束。
UePlus





